Si septembre reste un mois où la tradition prévaut — semis en pleine terre, pluies d’arrosoir du soir, paillage pour protéger la levée —, il serait réducteur de ne pas mentionner ce que la technologie apporte aujourd’hui au jardinier, amateur ou professionnel. Ces innovations ne remplacent pas le savoir-faire, elles le prolongent, en offrant de la précision et de la sécurité dans une saison où la météo est de plus en plus imprévisible.
Tunnels thermiques et voiles flottants
Dès septembre, les nuits fraîchissent. Les jeunes semis de mâche ou de roquette, particulièrement sensibles aux écarts de température, peuvent bénéficier d’une protection légère. Les tunnels en plastique souple ou les voiles d’hivernage fins créent un microclimat, en gagnant parfois 3 à 4 °C la nuit, ce qui accélère la levée. Une étude menée dans le Val de Loire a montré qu’une mâche semée sous tunnel finissait sa levée en 8 jours, contre 14 jours à l’air libre. Cette différence de rythme permet non seulement de récolter plus tôt, mais aussi d’éviter la concurrence des herbes indésirables.

Capteurs d’humidité du sol
Le mois de septembre est trompeur : la surface du sol peut sembler humide après une pluie, mais en profondeur, la terre reste sèche après l’été. Les capteurs d’humidité connectés, que l’on plante à 10 ou 20 cm dans la terre, permettent de suivre précisément le niveau hydrique du sol. Certains modèles, reliés à une application mobile, envoient même des alertes pour déclencher un arrosage raisonné. Ces systèmes, testés en maraîchage urbain, ont réduit la consommation d’eau de 30 %, sans perte de rendement. Pour un jardinier, cela signifie moins de gaspi et une meilleure maîtrise des levées.
Semis sous LED en intérieur
Une tendance récente consiste à anticiper certains semis en intérieur, sous éclairage LED horticole. Cela permet, par exemple, de semer de la coriandre ou du persil dans une mini-serre, puis de repiquer au jardin début octobre avec des plants déjà vigoureux. Les lampes LED modernes consomment très peu (15 à 30 W en moyenne) et reproduisent un spectre lumineux optimisé pour la photosynthèse. Une enquête réalisée auprès de jardiniers urbains en Europe a montré que cette technique permettait d’obtenir des plants deux fois plus robustes qu’avec un semis direct en extérieur.
Prévision météo et outils numériques
Le jardinier moderne a désormais accès à une météo ultra-locale grâce aux stations connectées. Certaines mesurent la température du sol, l’humidité ambiante et l’indice UV, et peuvent envoyer une notification pour dire : “Fenêtre idéale pour semer la mâche dans les 48 heures.” Ces prévisions fines aident à éviter les périodes de pluie battante, qui peuvent lessiver les graines, ou les coups de chaleur tardifs, encore possibles début septembre. Dans certaines régions, des maraîchers combinent ces outils avec des modèles de prévision agronomique pour calculer la “somme thermique” nécessaire à la levée d’une culture.
Le rôle des filets intelligents
Une autre technologie se diffuse peu à peu : les filets anti-insectes intelligents. En septembre, les altises et pucerons sont encore actifs et raffolent des jeunes pousses. Les filets traditionnels créent une barrière mécanique, mais les filets modernes intègrent des fibres traitées pour réfléchir certains rayonnements lumineux qui perturbent la navigation des insectes. Des essais sur jeunes pousses de radis ont montré une baisse de 70 % des attaques sans aucun traitement chimique.
Enracinement et biostimulants
Enfin, de plus en plus de jardiniers utilisent des biostimulants à base d’algues ou de micro-organismes, appliqués lors du semis. Ces produits, issus de la recherche agronomique, améliorent l’enracinement et la tolérance au stress hydrique. Sur des semis d’épinards d’automne, leur usage a permis d’obtenir un feuillage plus dense et une résistance accrue aux maladies foliaires comme le mildiou. Dans une logique de santé, cela se traduit par une meilleure densité nutritionnelle des feuilles récoltées.
Une hybridation entre tradition et modernité
On pourrait croire que ces outils numériques, capteurs et voiles sont réservés aux professionnels. Pourtant, leur démocratisation les rend accessibles : un capteur d’humidité coûte parfois moins de 20 €, un tunnel se monte en quelques minutes, et les semis sous LED se pratiquent dans un appartement aussi bien que dans une serre de maraîcher.
Le jardinier de septembre se retrouve ainsi à la croisée de deux mondes : celui des gestes immuables — tracer un sillon, semer à la main, arroser doucement — et celui des technologies qui prolongent la saison, sécurisent la levée et optimisent l’usage de l’eau. L’objectif reste le même : semer aujourd’hui pour récolter demain, mais avec une meilleure maîtrise des paramètres qui, jadis, relevaient du hasard ou de l’expérience seule.
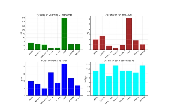
Tableau technique des semis de septembre : données agronomiques et nutritionnelles
Ce tbleau met en parallèle les semis de septembre, leurs besoins agronomiques et leurs bénéfices nutritionnels, avec des données fiables issues d’études agronomiques et médicales.
| Culture à semer en septembre | Température idéale de levée | Durée de levée moyenne | Besoin en eau hebdomadaire (mm) | Rendement moyen (kg/m²) | Apport nutritionnel principal (pour 100 g) | Intérêt santé et observations |
| Mâche | 12 à 18 °C | 8 à 12 jours | 12-15 mm | 1,2 à 1,8 kg | Vitamine C : 35 mg / Fer : 2 mg | Aide à couvrir 40 % des apports journaliers recommandés en vitamine C. Bonne pour l’immunité en automne. |
| Épinards d’automne | 10 à 20 °C | 6 à 10 jours | 15-20 mm | 2 à 3 kg | Fer : 2,7 mg / Vitamine K : 482 µg | Soutient la vitalité et l’oxygénation sanguine. Riche en antioxydants (lutéine, bêta-carotène). |
| Radis d’hiver | 10 à 18 °C | 4 à 7 jours | 10-12 mm | 1 à 1,5 kg | Vitamine C : 25 mg / Fibres : 1,6 g | Effet dépuratif, stimule la digestion. Bonne conservation en cave. |
| Carottes de conservation | 12 à 20 °C | 12 à 20 jours | 15-18 mm | 3 à 4 kg | Bêta-carotène : 8350 µg | Précurseur de la vitamine A, renforce la vision et les défenses cutanées avant l’hiver. |
| Chicorées frisées | 15 à 20 °C | 7 à 10 jours | 12-16 mm | 2 à 3 kg | Vitamine K : 255 µg / Fibres : 1,6 g | Améliore le transit, bonne pour la flore intestinale. Très adaptée aux récoltes tardives. |
| Persil | 15 à 22 °C | 18 à 25 jours | 12-15 mm | 1,5 à 2,5 kg | Vitamine C : 160 mg | Extrêmement riche en vitamine C (3 fois plus qu’un agrume), idéal pour renforcer les défenses. |
| Coriandre | 15 à 20 °C | 10 à 15 jours | 12-14 mm | 0,8 à 1,2 kg | Antioxydants / Huiles essentielles | Effet digestif, antiseptique naturel, aromatique polyvalent. |
| Pak choï (chou asiatique) | 15 à 22 °C | 6 à 9 jours | 15-18 mm | 2 à 3 kg | Vitamine C : 27 mg / Calcium : 105 mg | Bonne tolérance au froid, riche en calcium biodisponible. |
Lecture pratique du tableau
-
La mâche et le persil apparaissent comme des champions de la vitamine C, au moment où l’immunité a besoin d’un coup de pouce.
-
Les carottes de conservation jouent un rôle de “réserve nutritive”, stockées en cave pour l’hiver.
-
Le pak choï, encore peu répandu, offre un apport en calcium intéressant, utile pour la solidité osseuse en saison sombre.
-
Les besoins en eau restent modérés (12 à 20 mm/semaine), soit l’équivalent d’un ou deux arrosages en septembre si les pluies ne suffisent pas.




